Mikroøkonomi - 2.10 Udledning af efterspørgselskurver
Denne opskrift lærer dig, hvordan du grafisk kan udlede en efterspørgselskurve ud fra prisforbrugskurven (price consumption curve) også bare kaldet PCC-kurven.
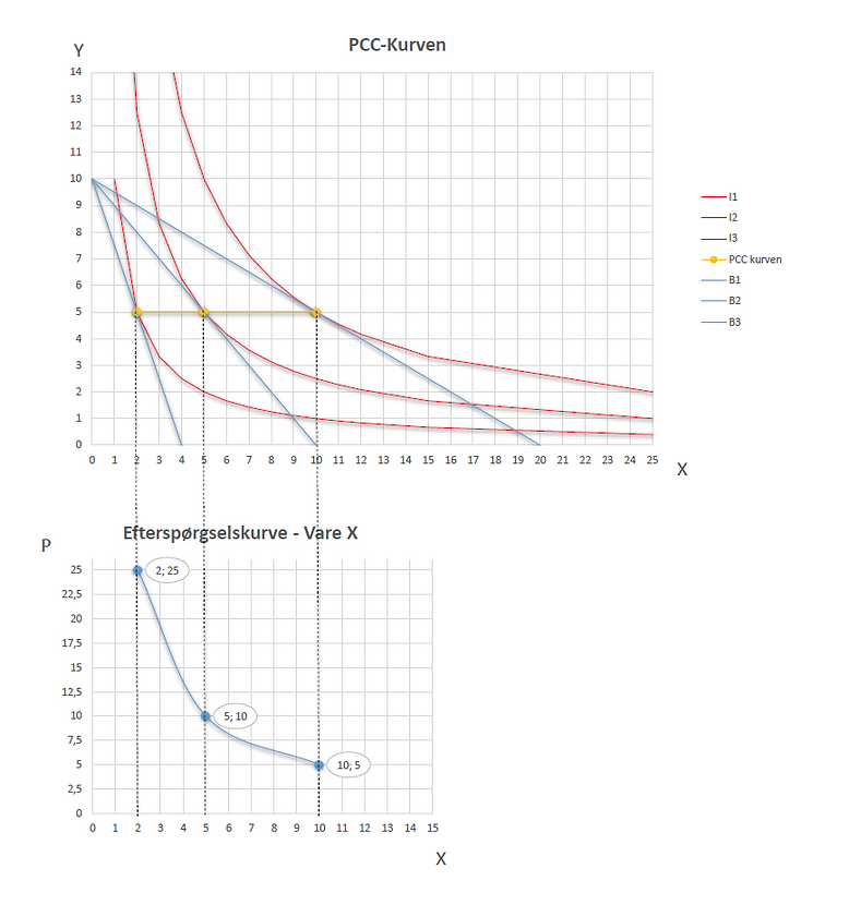
Opskriften fortsætter der hvor Opskrift 2.9 PCC-kurven slap. Det er således fortsat samme regneeksempel.
Løsningen kort fortalt
Trin 1:
Indtegn kombinationerne af priser og mængder for varen i et pris-mængde diagram for at illustrere efterspørgselskurven
Gennemgang inkl. regneeksempel
Spørgsmål a) Udled efterspørgselskurven for vare X (fortsat fra regneeksemplet
Trin 1: Indtegn kombinationerne af priser og mængder for varen i et
pris-mængde diagram for at illustrere efterspørgselskurven
Ud fra priserne og de optimale forbrugsvalg kan efterspørgselskurven for vare X
udledes grafisk. Kombinationerne af priser og efterspurgte mængder for vare X
indtegnes i et pris-mængde diagram. Her er prisen (P) for vare X op ad Y-aksen,
mens mængden (X) er ud ad X-aksen.
De stiblede linjer indikerer, hvordan man trækker de efterspurgte mængder af vare X ned i et pris-mængde diagram for at udlede efterspørgselskurven.

Bemærk at vi ikke kan udlede efterspørgselskurven for Y, da prisen for Y holdes konstant. Vi ville derfor kun have et enkelt punkt, hvis vi gjorde det.
MikroKogeBogen © - Udledning af efterspørgselskurver - Mikroøkonomi

